止损永远是对的,错了也对;死扛永远是错的,对了也错。横批:止损无条件!
专注国际黄金(上海TD金银,期货金银)、美原油(上海期货原油)、螺纹钢、铁矿石、动力煤等大宗商品以及农产品期货行情分析与指导!2010年入市,10余年实战,经验丰富!倡导中线为主,短线辅助;杜绝频繁操作,轻仓布局;风控为王,方能稳定盈利!做交易,多动多错,越勤劳越“负”,勤劳致富在做交易方面是个伪命题;狼狩猎,大部分时间都在等待而不是不停地追猎物!

大家好, 我是快乐的老杨,今天2021年11月12日,农历十月初八,星期三!今日文字+语音!
国内期货分析和指导开始,关于期货,可以缴费也可以选择开户,铁矿石,螺纹钢,红枣,苹果,豆油,棕榈油,橡胶,黄金白银,原油,动力煤,焦煤焦炭等等,产品多多,机会多多!

今天周五,市场上没有太多的消息公布,行情走势基本上符合我们预期!因此,昨日视频继续参考超级通胀席卷美国,黄金大涨回落冲顶路上;美元用力过猛,原油继续大扫荡!期货铁矿石动力煤沪锌沪铜纸浆玻璃豆油棕榈苹果等行情建议!另外精简的说下今天的看法
美元指数,周三强势拉升突破94.5~7区域阻力,昨日强势震荡并再度新高以小阳线收盘;目前95.20以上运行!基本面上,周三美国cpi通胀数据攀升至6.2%,创1990年以来新高,这提振加息预期,并不支持美元指数延续大涨;技术面上,短期大涨后,多头呈现严重超买,短期面临调整!

综合以上,今日周五,美元指数需要关注大涨后回落;阻力95.3以及95.5区域,操作上,不追涨,建议逢高参与空单,支撑95~94.8,破位看回撤94.5区域!其他外汇产品参考美指操作,欧美、镑美建议低多,美日则建议高空!
美债10年期收益率,大跌后周三和美元一道大涨,昨日休市;今日已经抵达1.55区域上下,继续大涨有难度,还是近期我们强调的,美债收益率更多的是震荡!尤其是大跌后快速拉升,接下来更是以震荡运行为主!今日,我们关注1.480以上1.600下方围绕1.550运行!
国际黄金,上周三晚上1760区域止跌企稳,美联储缩减购债以及非农重大利空,都没有能够阻挡多头步伐;本周三晚上,美国cpi数据将黄金多头推向极致,1823一线企稳拉升并破掉日线压力平台1830~35,黄金最高1868一线后回撤1841位置;昨日则1842一线二次企稳走多头,最终1865再回落!

基本面上,整体是利空黄金,黄金大涨更多的是利空靴子落地以及市场对美联储政策表示怀疑以及对美国通胀高企的担心。这样推动避险资金大量涌入黄金市场,美元和黄金呈现比翼双飞的奇观!盘面上来看,黄金突破1830~35则再次确认多头,打开了上涨空间,我们提示的目标位1870~80也即将抵达;1760下方开始短短1个交易周快速大涨100余美金,周三尾盘打压,昨日1865止住二次上涨。这给我们的信号是,黄金多头是确定的,但是快速大涨后,多头需要休息。

同时,今天周五,我们认为今天大概率是弱势震荡,继续大涨有难度。1865~68突破概率不大,即便破位应该走不远,上方1875~80阻力依旧;而对于空头,当然很难大跌,下方1840~45区域关键支撑,然后是1830~35区域!从4小时来看,今日更倾向于震荡调整!因此的话,操作上,参照压力1860以上只空不多,对于多单1850下方才考虑参与,参照1845~40以及1830~35两档支撑!

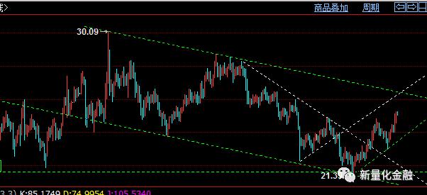
国际白银,多头着实不容易,21.4上涨以来可谓一波三折,目前最终破位了24.8区域最高25.2以上!但是,短期依旧不稳,今日则关注调整!阻力25.3区域以及25.5区域,支撑24.6区域!操作上,25以上一个多单不做,参照压力做回调空单,多单参照24.6区域支撑以上参与!跟随黄金的节奏进行!

期货金银2112和TD金银,昨日强调不追涨,并逢高参与空单,黄金1863~66白银25.2区域我们果断做空TD金银和期货金银,目前建议持有,一波调整的利润会有,多单今日不参与,等待空头调整到位,下周参与!纸金银,多单不动,仓位重的自行调整!

美原油连报价,原油周二震荡上涨破掉83区域阻力,周三85以下大跌,昨日82.5~80区间反复折腾!这种走势,正好印证了我们看好原油大扫荡的思路;基本面上,OPEC+增产问题告一段落,重点关注美国关于原油战略储备的消息!

综合而言,今日周五,我们继续看原油大扫荡,但倾向于空头向下!今日关注82~82.5区域阻力,逢高参与空单为主;下方关注80关口,下破则测试上周低点79~78区域!至于多单,80以上谨慎性参与,79~78区域支撑重点参与。另外,如82~82.5突破,则空单暂时回避,待84以上再次参与空单,目标82.5~80!上海原油参考美原油制定操作策略,逢高参与空单为主,多单辅助!


天然气连续,近期走势仍然在预期之内!周三一度刺破5.0关口,最终4.8企稳,目前回归5.2一线!我们也在周三及时指出抄底,接下来预计将震荡上扬,今日关注5.0关口支撑,继续逢低介入多单,阻力5.5以及5.75!

国内期货产品行情,大部分产品走势在我们预期内,近期策略维持不变,继续参考昨日视频以及本周分析,周末我们再详细总结!
总体方向,螺纹、铁矿石、热卷等黑色系低多为主,动力煤以及双焦进入低位反复拉锯时期,但低多为主;甲醇、乙二醇,pp,PTV,PVC等低位反复震荡,逢低买入,乙二醇则偏弱一些!纸浆以及玻璃,则明显企稳,继续低多进行。苹果,豆油,棕榈油反弹稍强,大跌后强势反弹,高位震荡,关注做空;豆一、玉米,红枣等关注做空机会;沪锡和沪铜目前震荡,沪锌关注反弹!

投资有风险,入市需谨慎;以上个人观点,仅供参考;据此操作,盈亏自负!
期货开户扫描二维码
本文链接https://www.lannuoqi.com/qhxy/1769.html
返佣网









